| ホーム > 製品 > ドライアルファ特集 |
| コンタクトオイルの電気的耐湿評価(Cu,Ag,Au) |
コンタクト材料に使用されるルブリケーター(接点オイル他)の耐湿性評価として非常に感度の高い2電極V-I特性測定法を用いて各金属における耐湿性能を測定する。
一般には各種金属の二極間に薄い有機物をはさみ、さらに電極間に電圧を印加すると流れる電流は電圧に対して非直線になり、この時の電流の伝導機構は膜の伝導体を通しての電流、トンネル電流、イオン電流などが考えられる。
また絶縁体が有機物の時でも真空の場合と同様に量子学的効果によってトンネル電流の方が支配的になり、有機物のような薄膜伝導において金属酸化膜を通しての電子トンネル効果についてはよく研究されているが、コンタクトオイルの諸特性に関しては研究文献が少ないので電気接触抵抗の安定化を目的として使用されているコンタクトオイルの薄膜特性を考え一部評価したので報告します。
現在接触部品の二電極間に介在するコンタクトオイルは一種の電解質として接点の接触抵抗を安定させる目的に使用されており、特に接点機構部の諸条件すなわち金属の種類と構成、表面電荷、接触力、形状、メッキ条件など更にV-I条件と外部エネルギーによる局部的変動ー電解質のイオン性、酸化還元、吸湿性、V-I条件、公害有機ガスなどを十分検討すれば接触抵抗の軽減に役立つものである。特に電極界面では伝導電子がそのまま両電極間を通過するものと、イオンなどの電極粒子に電流運搬を引受けさせるものの2種類が存在し前者をA型、後者をB型とすれば接触抵抗を低くするには何よりもB型伝導を抑制することである。
B型を押さえるためには界面に水分があってはいけないし、その為には界面に水分を寄せ付けない基材を使うべきである。さらに無機や有機の半導体物質が界面で生じないような、あるいは発生したらこれを除去するような性質を持つことである。
本試験で耐湿性を評価した見本写真
Cu基板の例 Ag基板の例 Au基板の例
高温高湿下におけるコンタクトオイルの評価試験
I−Vコンバーター回路図
試験方法の特徴としては接触部品の接点金属電極は金属の種類、構成内容(3〜4成分の合金etc.)メッキ条件さらに光沢剤などによって初期の電荷、さらに使用時の電極の移行があり、その初期および使用中の環境外部エネルギーに対して適切な添加剤の物理吸着力の問題、さらに帯電吸着作用が重要で、これによって耐湿性と構造に密接な関連がみられる。しがってこの試験方法によって添加剤の吸着力、および金属との適正、起電力適正添加量など各種の効果が明確に判明する。
試験方法と評価基準
このような電解耐湿槽を利用してクシ型プリント電極基板に電解質であるコンタクトオイルを用いた。
電極間は1mmとして各種金属を用い電圧を印加して行くと、電解質の種類、金属の種類、ピンホールによる下地金属構成有機性インヒビターの種類と濃度、更に組み合わせ等によってV-I特性の変化が生じる。
この時の電圧ー電流曲線は下図のような関係がある。
一般に最初は電流は少ないが、電流が急に流れ始める電圧のポイントがあり、これを分解電圧といい分解電圧に達するまでに流れる電流を残余電流といって、有機インヒビターの吸着力や添加濃度および起電圧をV=0の条件で初期の電圧を印加した後での電位差を比較すると電荷特性の強弱が判明する。
ここで注意することは水素発生及び酸素発生に対する最小過電圧と電流の関係でこの点の問題も評価の一種として考えて良いが有機インヒビターの効果を明確にするには電圧の適正が重要であり1〜100mV程度が望ましい。
ただし実際には高温高湿の環境を仮定すると、水の理論分解電圧は1.23Vで実際の分解電圧は約1.6〜1.7Vになり、それ以上では水素と酸素が発生するのでコンタクトオイルの評価電圧は有機インヒビターの場合は100mV以下で相対的には1V(max)が適正で電解質の特性が良く理解できる。しかしコンタクトオイルは電極電位-電流曲線で電流が急に流れるD点で評価できるが電極上に始めてガスが発生する電位でも決定できる。また水素ガス発生に対する最小過電圧は接点の金属種類によって異なりその順位も文献などのデーターと類似している。
例えば以下の金属の順位を参照する。
(例)Pt,Pd,Ru,Au,Fe,Co,Ag,Ni,Cu,Cd,Sn,Pd,Zn,Hg(高)
|
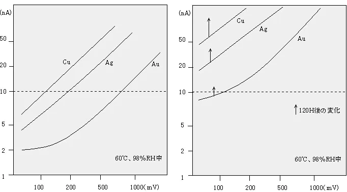
ドライアルファー/D1S20のV-I特性 耐湿性の悪い製品のV-I特性 |
 |
60℃、98%RH、120H後各サンプルの変色、
腐食は全く無かった |
同条件でCuの変色がみられた他VI特性が
悪くなった |
文献:高温高湿下におけるコンタクトオイルの分極とVI特性及びその他(二電極間に介在する有機薄膜の分極電圧による評価)
株式会社スリーボンド 本多 務 |
|
| ドライアルファー/D1S系(溶剤は含まず)の樹脂,金属に対する影響 |
1. JIS K2220( 5.5)銅板腐食試験方法に基づき以下の腐食試験を行い規定時間後
の表面状態を示す。
2.研磨した各金属サンプルをベースオイル(溶剤希釈前)に浸し、100℃で24時間保持した
後の金属板の変色状態を確認する。
| 銅 |
黄銅 |
亜鉛 |
ニッケル |
鈴 |
アルミ |
銀 |
金メッキ |
| ○ |
○ |
○ |
○ |
○ |
○ |
○ |
○ |
3.以上全ての試験金属に対して腐食は認められなかった金メッキ(Ni ‐2um下地, Au ‐0.2um)
プラスチックに対する影響
1.一番厳しいと思われる発砲スチロール塗布試験(60℃,24時間 )に合格して
おりますので以下の樹脂に対しても安心して使用できます。(D12HTは除く)
| 樹脂名 |
良否 |
ABS
PBT (ポリブチルテレフタレート)
PC (ポリカーボネイト)
PE (ポリエチレン)
PP (ポリプロピレン)
ナイロン
ポリアセタール (ジュラコン)
PVC (塩化ビニール)
PS ( ポリスチレン) |
〇
〇
〇
〇
〇
〇
〇
〇
〇 |
絶縁抵抗に及ぼす影響
1.伝導度測定セルを用い60℃, 95%RH中で1cmの電気抵抗を100Vの測定電圧で測定した
結果が以下のとおりです。
| 試験開始直後 500MΩ以上 |
500時間後 500MΩ以上 |
|
| ルブリケーターの種類 |
機構部品のコンタクトの使用される防錆オイル、グリスの数は多種多様であって、使用に当たっても検討する内容が多い様におもえる。
これらの使用目的金属及びメッキ別などから同製品でも当然試験結果が違うように、接触機構部品の複雑な特性が表れているようでもある。
その様な防錆剤について、過去の文献及び製品の分析を行ったので参考にしていただきたい。
@構成内容 形態は、オイル,グリス,ドライ状に分類され、構成としては基油,酸化安定剤,
ゲル化剤,金属不活性剤,粘土指数向上剤,分散洗浄剤,油性向上剤,
金属粉,防錆添加剤,顔料,染料,プラスチック等
A基油の種類 (単独及び混合物)
(A) 鉱 油:パラフィン系,ナフテン系,特殊製精油
(B) 合成油:ジエステル2エチルヘキシル(セバケート,アジベート)及び
C オキソアルコール,ネオペンチルポリオールエステル,カプロン酸
(ペンタエリスリトールエステル),2エイルヘキシル酸
(トリメチロールプロパネステル),ペンタエリストールカプリン酸
エステル,りん酸エステル,シリケートエステル(テトラアルコキシミラン)
ポリフェニールエーテル,ポリアルキレングリコール,オレフィン重合油,
フッ素系,合成C.H油,植物油変性脂肪酸
(C) シリコーン合成油:フロロ,メチルフェニール,ジメチル,脂肪酸変性,
アミノ変性,アルキル変性,メチルハイドロジエン,メルカプト変性,
ポリエーテル,ポリオキシアルキレン変性,ポリアミン変性
カルバミン変性,ステアリルアミン(塩酸基)
Bゲル化剤 リチューム石鹸類,アルミニューム複合石鹸,混合石鹸類,シリカ(シラン
カップリング処理),鉛石鹸,カルシューム石鹸,アリルウエア,ポリウレア
フタロシアニン,シリカ石鹸混合類,テレフタラメート,フッ素化合物
Cその他 ポリメタクリレート,ポリアクリレート,エチレン(プロピレン共重合体)
有機カルシューム,有機マグネシューム,有機バリューム,有機亜鉛
有機鉛,有機錫,金属酸化物,金,銀,銅,アミン化合物,フェノール
化合物,硫黄化合物,りん化合物,ポリイソブチレン,キレート化合物,
脂肪酸(オレイン,アジピ酸)
以上のような化学物などが各種混合されて、機械油の分野と同様な仕様であるが、異なる点は相手金属の種類、純度、使用条件、評価法、潤滑剤の精製度、安定性などについてであって十分に留意して使用することが重要である。
|
|
|